CETIRIZINE 3-CHLORO IMPURITY
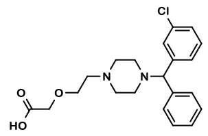
Cetirizine 3-chloro Impurity is a Impurities of Cetirizine with CAS Registry No: 1232460-29-5
Availability: In-stock, For Exact delivery date, please contact sales@stallionhealth.co.uk
| CAT No. : | AC0072 |
| API : | Cetirizine |
| CAS No. : | 1232460-29-5 |
| Inventory Status : | In-stock |
| Synonym : | 2-[2-[4-[(3-Chlorophenyl)phenylmethyl]-1-piperazinyl]ethoxy]acetic Acid Hydrochloride; [2-[4-[(3-Chlorophenyl)phenylmethyl]piperazin-1-yl]ethoxy]acetic Acid Dihydrochloride; |
| Mol. formula : | C21H25ClN2O3 • 2HCl |
| Mol. Weight : | 388.89 + 2(36.46) |
HAVE QUESTIONS ABOUT CETIRIZINE 3-CHLORO IMPURITY? ENQUIRE NOW
Enquire Now






