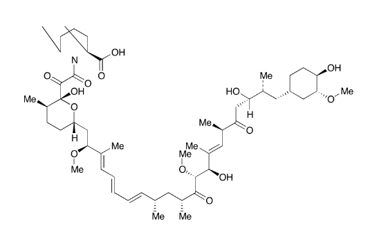
34-HYDROXY SIROLIMUS
34-Hydroxy Sirolimus is a Impurities of Sirolimus with CAS Registry No: 185107-79-3
Availability: , For Exact delivery date, please contact sales@stallionhealth.co.uk
| CAT No. : | AA0312 |
| API : | Sirolimus |
| CAS No. : | 185107-79-3 |
| Synonym : | [(2S,3E,5E,7E,9S,11R,13R,14R,15E,17R,20S,21R)-14,20-Dihydroxy-22-[(1S,3R,4R)-4-hydroxy-3-methoxycyclohexyl]-2,13-dimethoxy-3,9,11,15,17,21-hexamethyl-12,18-dioxo-3,5,7,15-docosatetraen-1-yl]tetrahydro-2-hydroxy-3-methyl-2H-pyran-2-yl]-2-oxoacetyl]-2-piperidinecarboxylic Acid; 34-Hydroxy Sirolimus; 34-Hydroxy Rapamycin |
| Mol. formula : | C51H81NO14 |
| Mol. Weight : | 932.19 |
HAVE QUESTIONS ABOUT 34-HYDROXY SIROLIMUS? ENQUIRE NOW
Enquire Now

